반응형
✅ 벨먼-포드 알고리즘 (Bellman-Ford Algorithm)
❕ 기본 개념
- 그래프의 최단 경로 문제를 해결하기 위한 알고리즘
- 최단 경로 문제에서는 간선에 가중치가 부여된 가중 그래프가 주어지며,
시작점부터 종점까지의 경로 중 간선의 가중치 최소합을 구하면 됨
- 가중치가 음수라도 제대로 동작함
- 방향성/비방향성 그래프 모두 적용 가능
- 정점 수를 n, 간선 수를 m이라고 할 때, 가중치 변경 작업을 n회 순회하고,
각 변경 작업에서 각 간선을 1회씩 조사하므로 전체 계산 시간은 O(nm)
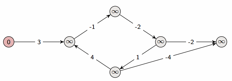
❕ 작동 방식







✔ 구현 방법 (JS)
function BellmanFord(graph, V, E, src) {
// Initialize distance of all vertices as infinite.
var dis = Array(V).fill(1000000000);
// initialize distance of source as 0
dis[src] = 0;
// Relax all edges |V| - 1 times. A simple
// shortest path from src to any other
// vertex can have at-most |V| - 1 edges
for (var i = 0; i < V - 1; i++) {
for (var j = 0; j < E; j++) {
if (dis[graph[j][0]] + graph[j][2] < dis[graph[j][1]])
dis[graph[j][1]] = dis[graph[j][0]] + graph[j][2];
}
}
// check for negative-weight cycles.
// The above step guarantees shortest
// distances if graph doesn't contain
// negative weight cycle. If we get a
// shorter path, then there is a cycle.
for (var i = 0; i < E; i++) {
var x = graph[i][0];
var y = graph[i][1];
var weight = graph[i][2];
if (dis[x] != 1000000000 && dis[x] + weight < dis[y])
document.write("Graph contains negative" + " weight cycle<br>");
}
document.write("Vertex Distance from Source<br>");
for (var i = 0; i < V; i++) document.write(i + " " + dis[i] + "<br>");
}
// Driver code
var V = 5; // Number of vertices in graph
var E = 8; // Number of edges in graph
// Every edge has three values (u, v, w) where
// the edge is from vertex u to v. And weight
// of the edge is w.
var graph = [
[0, 1, -1],
[0, 2, 4],
[1, 2, 3],
[1, 3, 2],
[1, 4, 2],
[3, 2, 5],
[3, 1, 1],
[4, 3, -3],
];
BellmanFord(graph, V, E, 0);
/*
Output
Vertex Distance from Source
0 0
1 -1
2 2
3 -2
4 1
*/
참고자료
「알고리즘 도감」 中 4-4 벨먼-포드 알고리즘
https://www.programiz.com/dsa/bellman-ford-algorithm
https://wch18735.github.io/algorithm/Bellman_Ford/
https://www.geeksforgeeks.org/bellman-ford-algorithm-simple-implementation/
반응형
'Devlog > DS & Algorithms' 카테고리의 다른 글
| [알고리즘] 이진 탐색 (0) | 2022.08.16 |
|---|---|
| [알고리즘] Greedy Algorithm (0) | 2022.08.06 |
| [알고리즘] Dynamic Programming (0) | 2022.08.06 |
| [알고리즘] 계수 정렬 (0) | 2022.08.06 |
| [알고리즘] 퀵 정렬 (0) | 2022.08.05 |